西安西馳電氣股份有限公司(證券代碼831081),成立于2002年,是一家專業從事電力電子產品研發、制造、銷售的高新技術企業。
了解更多
1、什么叫做電氣接線圖?怎樣區分一次接線圖和二次接線圖?
答:按照國家頒布的有關電氣技術標準,使用電氣系統圖形符號和文字符號表示電氣裝置中的各元件及其相互聯系的工程圖,稱為電氣接線圖,又叫電氣線路圖。電氣線路圖按其在電力系統的作用,可分為一次接線圖和二次接線圖。
一次接線圖 也叫主接線圖,是表示電能輸送和電能分配路線的電路圖。與一次接線直接相連的電氣設備,稱為一次設備或一次元件。一次接線圖一般用單線繪出,圖中的設備位置都是無電壓時的位置。
二次接線圖 表明電路的控制、指示、監視、測量和保護電器正常,運行的接線圖,稱為二次接線圖。與二次設備直接相連的電器,稱為二次設備或二次元件。
2、什么叫磁感應定律?
答:當閉合電路的部分導體在作切割磁力線運動時,或者是穿過閉合電路內磁力線發生變化時,閉合電路就產生電動勢和電流,這種現象叫電磁感應現象。電路中產生的電流叫感應電流,產生的電動勢叫感應電動勢。
3、什么是楞次定律?
答:感應電流產生的磁場總是阻止原磁場變化的。當線圈中的磁通要增加時,感應電流就產生一個磁場阻止它的增加;當線圈中的磁通要減小時,感應電流所產生的磁場也將阻止它減小,這個規律叫楞次定律。它是判斷感應電動勢或感應電流的方向的法則,判斷的步驟是:首先判定原磁通的方向及其變化的趨勢(即增加還是減少),然后根據感應電流的磁場方向與原磁通的變化方向永遠相反的原則,來確定感應電流的磁場方向,利用右手螺旋定則判定感應電動勢的方向。感應電動勢的方向與感應電流的方向是一致的。
4、為什么只有同頻率的正弦量才能用向量進行運算?
答:因為頻率相同的正弦量之間的相位差,在任一瞬間都相同,所以可以用向量進行計算。如果正弦量的頻率不同,那么他們之間就沒有確定的相位差,所以無法用向量進行計算。
5、試說明電阻的色環標志?

6、如何利用萬用表來判斷二極管的電極和性能好壞?
答:用萬用表測量二極管,一般用R×100或者R×1K檔。將萬用表的兩個表筆分別去接觸二極管的兩極,若表指示的電阻較小(一般在幾百歐至幾千歐),則黑表筆所接的一端是二極管的正極,紅表筆所接的一端是負極。然后將紅、黑表筆對換過來進行測量,若此時測得的電阻值在幾百千歐以上,則說明前面的判斷是正確的,而且管子的單向導電性能也較好。兩次測量的電阻差值越大,則說明二極管的單向導電性能越好。
7、怎樣判斷發光二極管的好壞及其極性?
答:發光二極管是一種把電能轉換成光能的半導體器件(常用符號LED表示),當管子中通過合適的正向電流時,便以光的形式將能量釋放出來,根據管子的材料及正向電流大小的不同,可發出不同顏色、不同強度的光。發光二極管具有體積小、顏色鮮艷、耐用、響應速度快等特點。發光二極管也具有單向導電性,用萬用表R×1K檔可測出正、反向電阻值,從而確定正、負極。一般正向電阻應小于50~80KΩ,反向電阻應大于400KΩ。如測出正、反向電阻均為零,說明二極管內部已擊穿短路;如果測出正、反向電阻均為無窮大,說明二極管內部已開路。
根據發光二極管的外形也可以區分其正、負極,電極引線較長的是正極,電極引線較短的是負極。
8、如何用萬用表識別晶體管的基極?如何區分NPN型和PNP性晶體管?
答:由于基極與集電極、發射極之間是兩個PN結。他們的反向電阻很大,正向電阻很小,所以用萬用表的電阻檔測量,先假定一個管腳是基極。當用紅表筆接此腳,黑表筆分別接另外兩個管腳時,若所測得的兩個電阻值都很大(或都很小);當用黑表筆接假設的基極,紅表筆分別接其它兩管腳時,若此時測的兩個電阻值都很小(或都很大),則上述假定的基極是正確的。如測得的兩個電阻一大一小,則說明原假設的基極不對,應另外再假設一個管腳,重復上述測量。
當紅表筆的是基極時,黑表筆分別接觸另外兩個管腳,若表指示的兩個電阻值都很小時,此管是PNP型;若表指示的兩個電阻值都很大時,此管是NPN型。
9、什么叫電源?
答:能將其它形式的能量轉換成電能的設備叫電源。如發電機、蓄電池和光電池等都是電源。它們分別把機械能、化學能和光能轉換成電能。
10、什么叫電壓?什么叫電流?什么叫電阻?它們的單位及代表符號是什么?
答:在電場中,將單位正電符由高電位移向低電位時,電場力所做的功稱為電壓,電壓的單位是伏特,代表符號是V。
在電場力的作用下,自由電子或離子所發生的有規則的運動稱為電流,電流的單為是安培,代表符號是A。
電流在導體內流動時所受的阻力叫電阻,電阻的單為是歐姆,代表符號是W。
11、什么是導體、絕緣體、半導體?并舉例說明。
答:導電能力強的物質稱為導體,例如:銅、鋁等
幾乎不能導電的物質稱為絕緣體,如:橡膠、塑料、云母等
導電能力介于導體與絕緣體間的物質稱為半導體,如:硅、鍺、硒等
12、試述歐姆定律并用工式表示。
答:歐姆定律就是反映電路中電阻、電壓與電流三者之間的關系的定律,電路中電流與這段電路上的電壓成正比,與這段電路的電阻成反比。公式:I=U/R。
13、什么是電阻的串聯?什么是電阻的并聯?怎樣計算它們的電阻值?
答:把電阻一個一個成串地連接起來,使電流只有一條通路,就叫電阻的串聯,串聯電阻總電阻值就是各分電阻阻值相加之和。
將各電阻的兩端連接于共同的兩點上稱為電阻的并聯。并聯電路總電阻的倒數等于各支路電阻的倒數之和。
14、什么是電阻的復聯?怎樣計算復聯電路的總電阻值?
答:在電路中電阻既有并聯也有串聯,這種電路叫做復聯電路。計算復聯電路總電阻的方法是,首先用串、并聯公式分別求出單純的串聯和并聯部分的等值電阻,然后再計算總電阻。
15、導線的電阻與導線長度、導線截面有什么關系?
答:導線電阻與導線長度成正比,與導線截面積成反比。
16、什么叫電阻率?電阻率的代表符號是什么?
答:電阻率也稱電阻系數,是指某種長1m,截面為1mm2的導體,在溫度為20℃時的電阻值。電阻率用字母r表示。
17、什么是電阻溫度系數?導體電阻和溫度有什么關系?
答:當溫度每升高1°C時,導體電阻的增加值與原來電阻的比值叫做電阻溫度系數。溫度在100°C范圍內變化時,金屬導體的電阻隨溫度增加而增加。
18、什么是電導和電導率?
答:電導是衡量物體傳導電流能力的物理量,其數值為電阻的倒數。電阻率的倒數稱為電導率,它是衡量物體導電性能好壞的一個物理量。
19、什么叫正弦交流電路?
答:所謂正弦交流電路,是指含有正弦電源(激勵)而且電路各部分所產生的電壓和電流(響應)均按正弦規律變化的電路。
20、什么叫頻率?什么叫周期?周期和頻率的關系?
答:正弦量每秒內變化的次數稱為頻率f,它的單位是赫磁(HZ);正弦量變化一次所需的時間(秒)稱為周期T;T=1/ f。
21、接正弦規律變化的交流電的三要素是什么?
答:最大值,角頻率,初相角。
22、在純電容單相交流電路中,電壓,電流相位關系怎樣?
答:電壓滯后電流90度。
23、在純電感單相交流電路中,電壓,電流相位關系怎樣?
答:電壓超前電流90度。
24、正弦量的周期T頻率f角頻率ω之間有什么關系?
答:ω=2π/T=2πf
25、什么叫串聯諧振?
答:在電阻元件R 電感元件L 電容元件C 串聯的電路中,當電源電壓與電路中的電流同相,這時電路中發生諧振現象,稱串聯諧振。
26、什么叫正弦電路的并聯諧振?
答:在R L C 并聯的電路中,當電源電壓與電路中的電流同相,這時電路中發生諧振現象,稱并聯諧振。
27、什么叫對稱三相電源?
答:三相電源一般是由3個同頻率,等幅值和初相依次相差120度的正弦電壓源按一定方式聯接而成,這組電源稱對稱三相電源。
28、三相對稱的星形聯接中線值與相值有什么關系?
答:星形連接中,線電壓是相電壓的√3 倍,線電流等于相電流,線電壓與相電壓之間有30度的相位差。三角形連接中,線電壓等于相電流,線電流是相電流的√3倍,線電流與對應相電流之間有30度的相位差。
29、三相對稱負載的功率如何計算?
答:P=3UpIpcosφ
φ角是相電壓Up與相電流Ip之間的相位差。
30、交流接觸器有什么作用?簡述交流接觸器的結構和原理?
答:交流接觸器常用來接通和斷開電動機或其它設備的主電路,每小時可開閉好幾百次。接觸器主要由電磁鐵和觸點兩部分組成。它是利用電磁鐵的吸引力而動作的。
31、中間繼電器有什么作用?
答:中間繼電器通常用來傳遞信號和同時控制多個電路,也可直接用它來控制小量電動機或其它電氣執行元件。
32、熱繼電器有什么作用?
答:熱繼電器是用來保護電動機使之免受長期過載的危害。
33、為什么說熱繼電器不能作短路保護用?
答:因為發生短路故時,我們要求電路立即斷開,而熱繼電器由于熱慣性是不能產即動作的,所以熱繼電器不能作短路保護。
34、熔斷器有什么作用?
答:熔斷器是簡便的而且是有效的短路保護電器。線路在正常工作情況下,熔斷器中的熔絲或熔片不應熔斷,一旦發生短路或嚴重過載時,熔斷器中的熔絲或熔片應立即熔斷。
35、熔斷器按結構通常分為哪三種?
答:通常分為管式熔斷器、插式熔斷器和螺旋式熔斷器。
36、自動空氣斷路器有什么作用?
答:自動空氣斷路器也叫自動開關,是常用的一種低壓保護電器,可實現短路,過載和失壓保護。
37、怎樣表示絕緣材料的絕緣性能好壞?什么叫做損耗角?
答:絕緣材料的絕緣性能好壞,一般用絕緣材料的電阻大小來表示。絕緣材料的絕緣電阻,是加于絕緣的直流電壓與流經絕緣的電流(稱泄漏電流)之比。
絕緣電阻分為體積電阻和表面電阻兩種。前者是電流通過絕緣內部的電阻值,后者是電流通過絕緣體表面的電阻值。而絕緣的全電阻就是這兩者之和。與此相對應的是絕緣材料的電阻率,電阻率也有體積電阻率和表面電阻率之分。
絕緣材料如果具有足夠的絕緣電阻,就能夠將泄漏電流限制在很小范圍以內,能夠防止漏電流造成的觸電事故。絕緣電阻通常用兆歐表(也稱搖表)來測量。
介質損耗角也可表征絕緣材料的絕緣性能好壞。它是超前電流和電壓所構成的角度與90°角之比。良好的絕緣體中,電流超前電壓90°,因此損耗角是零度。但一般絕緣材料不可能是絕對的絕緣體,總有或多或少的漏電流通過它。而損耗角就是用來度量這種不完美性。損耗角常用δ表示。
38、怎樣判斷電氣線路和設備的絕緣電阻是否符合標準?
答:不同的線路和設備,對其絕緣電阻有不同的要求。一般來說,高壓較低壓要求高,新設備較老設備要求高,移動設備較固定設備要求高。以下幾種主要線路和設備的絕緣電阻如果不低于所列值,則可判定它們的絕緣電阻符合標準:
新裝或大修后的低壓線路和設備,其絕緣電阻不低于0.5兆歐;運行中的線路和設備,平均每伏工作電壓的絕緣電阻不低于1000歐(對于潮濕場所的線路和設備,允許降低為500歐)。
攜帶式電氣設備的絕緣電阻不低于2兆歐。
配電盤二次線路的絕緣電阻不低于1兆歐(在潮濕環境允許降低為0.5兆歐)。
10千伏高壓架空線路每個絕緣子的絕緣電阻不低于300兆歐;35千伏及以上者不低于500兆歐。
運行中的6~10千伏和35千伏電力電纜的絕緣電阻分別不低于400~1000兆歐和600~1500兆歐(干燥季節取較大值,潮濕季節取較小值)。
高壓電氣設備的吸收比大于1.3(從開始測量絕緣電阻算起,第60秒的絕緣電阻與第15秒的絕緣電阻之比,稱為吸收比;吸收比越大,設備的絕緣性能越好)。
電力變壓器的絕緣電阻不低于出廠時的75%,或不低于表中的所列值。
電力變壓器的絕緣電阻 (兆歐)

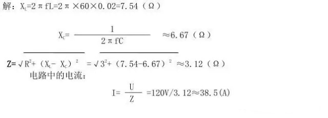
39、一個3Ω的電阻和20mH的電感線圈與400μF的電容串聯,若電壓與頻率為120V,60Hz,求電路中的電流是多少?

40、已知一正弦電流,當t=0時的瞬時值i0=0.5A,并已知初相角為30°求其有效值是多少?

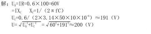
41、100Ω的電阻與10μF的電容串接到50Hz的交流電源電路中,當電流為0.6A/h,求電阻、電容兩端的電壓及外加電壓各為多少?

42、如圖所示的電路,已知I=10A,I1=6A,電阻R1=3Ω,R2=1Ω,R3=2Ω,求電流表A4和A5的讀數。

43、一組星形負載,每相阻抗均為電阻8Ω及感抗6Ω,接于線電壓380V的對稱三相電源上,且設UAB的初相角為60°求各相電流。

44、電氣人員怎樣堅持文明生產?
答:在電氣作業中,文明生產,是保持設備和線路正常運行,實現安全用電,防止發生人身和設備事故的可靠保證。因此,要求每個電氣人員從工作態度到工作作風,從工作水平到工作效益,都符合文明建設需要,做到有條理、有秩序、認真負責地從事電氣工作。具體的說,應做到以下幾點:
①、完成工作要干凈利落,查找故障要迅速及時,排除故障要完全徹底。
②、工作既要注意安全可靠,又要講究整潔衛生,既要符合技術要求,又要厲行勤儉節約。
③、工作結束,要認真檢查、整理和清掃現場。
④、電氣工作室和值班室應保持清潔衛生,備品、備件和材料應按規定位置擺放,儀器、儀表和安全用具要妥為保管,定期檢查,使其經常處于待用狀態。
⑤、對電氣設備應建立檔案,定期進行檢修并做好記錄。
45、怎樣掌握電器設備拆修和調整的一般原則?
答:通常,凡是大型電氣設備(發電機、變壓器、開關等)的拆修,都要做好拆修前的準備、拆卸修理和拆修后組裝調整這三個階段的工作。下面是這三個方面應該遵循的一般原則。
拆修前的準備:
①、準備好必需的圖紙和技術資料。
②、判斷待拆修設備的現狀和達到正常工作狀態的差距,以便制定檢修方案。
③、從規格、品種和數量方面備足檢修所需的零部件和材料。如果無法備齊,則不得拆修。
配備拆修所需的工具、量具和儀表。
④、備齊零星輔料(如絕緣油、汽油、潤滑油、砂紙、導線、緊固件等)。
⑤、安排參加拆修工作的人員。
⑥、落實保證安全的組織措施和技術措施。
拆修注意事項:
①、邊拆邊核對圖紙,凡與圖紙不符者要做好詳細記錄。
②、記住組裝順序(作出標記),了解零部件之間的關系。
③、較復雜的設備,應按拆卸順序排列放置拆下的零部件。
④、清洗和擦拭時要防止損壞零部件。
⑤、損壞的零部件應予以更換。
⑥、如果發現已損件,但無備件,則應采取補救措施,并作出詳細記錄;對有缺陷但可繼續⑦、使用的零部件,也應作出記錄。這兩類不合格的零部件,在下次檢修時應首先更換。
拆修后組裝調整注意事項:
①、按與拆卸相反的順序組裝。
②、組裝后要達到原定的質量標準和具備原有性能。
③、核對圖紙資料,修改處要記錄清楚。
④、對試驗和調整的有關數據,要記錄準確、清楚。
⑤、拆修用的工具、量具、儀表和輔料要逐項清理。
⑥、檢修、安裝完畢,須進行例行試驗,只有試驗合格才可投入運行。
⑦、拆修者與運行人員辦理移交手續。(轉載自筑龍網)
Copyright ? 2019 西安西馳電氣股份有限公司 保留所有版權 陜ICP備09009982號-1
陜公安備 61019002000087